La solución es:
Ejercicio 2: Según una encuesta reciente, de cada 15 españoles, 9 no han leído El Quijote. ¿Qué porcentaje de españoles ha leído El Quijote?
La solución es:
Ejercicio 3: La media de las edades de cuatro hermanos es 12,5 años y las edades de tres de ellos son 10, 12 y 17 años. ¿Cuál es la edad del 4º hermano?
La solución es:

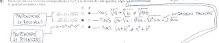
Ejercicio 4: Marca con una círculo correspondiente a V (verdadero) ó F (falso), a la derecha de cada igualdad, según sea dicha igualdad verdadera o falsa.
La solución es:
Ejercicio 5: Resuelve el siguiente sistema de ecuaciones:
3x - y = 1
2x + y =4
La solución es:
Ejercicio 6: Calcula el valor numérico de un polinomio en x.
La solución es:
Ejercicio 7: Para hacer una tarta de 750 gramos (g), Pedro ha utilizado 300 gramos de harina. Ahora quiere hacer otra tarta que pese 1 kilogramo (kg). ¿cuántos gramos de harina necesitará?
La solución es:
Ejercicio 8: Un euro equivale aproximadamente a 1,5 dólares. ¿Cuántos euros recibirá un turista americano que cambia en Madrid 600 dólares?
La solución es:
Ejercicio 9: Apoyamos una escalera de 13 metros (m) de longitud sobre una pared, de forma que su base queda separada 5 metros (m) de la pared al nivel del suelo. ¿A qué altura llega la escalera?
La solución es:
Ejercicio 10: Hallar el ángulo A en:

La solución es:









No hay comentarios:
Publicar un comentario