Los alumnos de 4º de la ESO (opción letras) pueden comprobar sus soluciones al control con las soluciones aportadas por el profesor (Óscar)
Ejercicio 1:
martes, 28 de abril de 2009
Soluciones al control de Trigonometría (4º ESO-Ciencias)
Los alumnos de 4º de la ESO (opción ciencias) pueden comprobar sus soluciones al control con las soluciones aportadas por el profesor (Óscar)
Ejercicio 1:
Ejercicio 1:
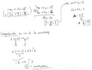
Soluciones al control sobre proporcionalidad-3º ESO
Los alumnos de 3º de la ESO pueden comprobar sus soluciones al control con las soluciones aportadas por el profesor (Óscar)
Ejercicio 1:
Ejercicio 1:
lunes, 27 de abril de 2009
lunes, 20 de abril de 2009
4º de la ESO - TRIGONOMETRÍA. Ejercicios y Problemas de la página 119 del libro
Ejercicio 39: Responde a las preguntas que se plantean en los 5 apartados (a,b,c,d y e) del ejercicio 39 del libro en la página 119 del mismo.
Apartados y soluciones:
a.- ¿Puede el coseno de un ángulo valer 3/2?

b.- ¿Puede el seno de un ángulo valer 5/4?

c.- ¿Puede la tangente de un ángulovaler 500?

d.- Si un ángulo está en el 2º cuadrante, ¿puede valer su coseno 1/3? ¿Y su seno 1/3?

e.- ¿Puede tener tangente positiva un ángulo que no pertenezca al primer cuadrante?

Ejercicio 40: Calcula los apartados del ejercicio 40 del libro en la página 119 del mismo.
Solución:
Solución:

4º de la ESO - TRIGONOMETRÍA. Ejercicios y Problemas de la página 113 del libro
Ejercicio 5: Calcula las razones trigonométricas de los ángulos agudos de los triángulos rectángulos de las figuras (Ejercicio 5 de la página 113)

Ejercicio 7: Utilizar la calculadora para calcular el valor de unas razones trigonométricas (Ejercicio 7 de la página 113)
Solución:
Solución:

Ejercicio 7: Utilizar la calculadora para calcular el valor de unas razones trigonométricas (Ejercicio 7 de la página 113)
Solución:
Ejercicio 8: Con la ayuda de la calculadora calcular los ángulos correspondientes a 2 razones trigonométricas (las cuales vienen en el Ejercicio 8 de la página 113)
Solución:
Problema 11: Una ONG ha decidido construir un puente sobre un río para comunicar dos pueblos de las orillas. Calcula la longitud aproximada del puente con los datos de la figura que viene en el enunciado del problema 11 de la página 113
Solución:
Problema 12 (YA RESUELTO EN CLASE: 20-Abril-2009): Con ayuada de la calculadora, halla el ángulo aproximado que forman los rayos solares con la superficie del suelo en el momento en que una estatua de 2 metros de altura proyecta una sombra de 4 metros (Problema 12 de la página 113)
Solución:
Problema 13 (YA RESUELTO EN CLASE: 20-Abril-2009): La señal de tráfico (mostrada en el enunciado del problema 13 de la página 113) significa que por cada 100 metros que se avanza en la horizontal se sube un desnivel de 13 metros. Con ayuda de la calculadora, halla el ángulo que forma en ese momento la carretera con la horizontal.
Solución:
viernes, 17 de abril de 2009
Suscribirse a:
Comentarios (Atom)













































